About Researcher
Tianhua Ju is a researcher in materials science, specializing in computational thermodynamics and modeling, with a particular focus on alloy melt thermodynamics. His research foundation was established under the mentorship of Prof. Xueyong Ding (丁学勇) at Northeastern University. Currently based in Nanning, Guangxi, his work centers on the development of advanced thermodynamic models, thermodynamic strategies for impurity control in secondary aluminum, and the design of novel energy storage materials.
Research Highlights
- Unified Extrapolation Model (UEM): Established the Unified Extrapolation Model (UEM) framework, utilizing contribution coefficients to unify traditional geometric models (Kohler, Muggianu, Toop, etc.).
- UEM-Miedema Framework: Developed the UEM-Miedema framework to accurately calculate solute activity interaction parameters in dilute alloy melts.
- Thermodynamic Software: Created a computational suite based on these models to predict critical metallurgical phenomena, such as solidification temperatures and inclusion precipitation behavior in alloy melts.
Model Performance
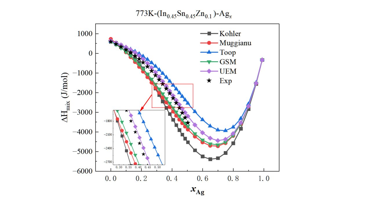
Below are comparative results demonstrating the accuracy of the UEM framework against traditional geometric models.
Figure 1: Performance comparison in the Au-Ga-Ag ternary system.
Figure 2: Performance comparison in the Li-Ga-Sn ternary system.
Figure 3: Performance comparison in the In-Sn-Zn-Ag quaternary system.
Selected Publications
- Qiwen Lv, Yurui Li, Zhuo Chen, Nian Shu, Cuiyun He, Wei He, Changzhong Liao, Tianhua Ju*. Calculation of solute activity interaction coefficients in Ni-based melts using UEM–Miedema framework model. Canadian Metallurgical Quarterly, 2025. (DOI: 10.1080/00084433.2025.2588500)
- Tianhua Ju, Zhenlin Huang, Xueyong Ding, Xinlin Yan, Changzong Liao. A Unified Extrapolation Thermodynamic Model for Multicomponent Solutions Based on Binary Data. Thermochimica Acta, 2024, 740: 179824.
- Tianhua Ju, Qiwen Lv, Yan Wu, Cuiyun He, Changzhong Liao, Han He. Influence of property difference definitions on activity interaction coefficients within the UEM-Miedema framework. Journal of Molecular Liquids, 2025, 128466.
- Tianhua Ju, Xueyong Ding, Long Zhang, Weiliang Chen, Bo Wang, Xinlin Yan. A General Model for Solutes Activity Interaction Parameters in Dilute Metallic Solutions. ISIJ International, 2020, 60(11): 2416-2424.
For a complete list of publications and citations, please visit Tianhua Ju's Google Scholar Profile.